… Como decía el del chiste de la orgía (no, no lo voy a contar; si no te lo sabes, lo buscas). La evidencia la revela El País (La multitarea, rival del rendimiento
). Y digo evidencia
porque lo que cuenta me parece obvio, y no sólo por cuestiones de sentido común, sino porque creo que el cerebro, como máquina de pensar, se parece más de lo que creemos —y queremos creer, a veces— a las computadoras.
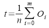
Para un ordenador, la multitarea no es un modo de hacer más cosas en menos tiempo, sino una forma de manipular la percepción del usuario para que parezca que se hace más. La realidad es que, dado un ordenador (no importa la velocidad, es un ordenador teórico) y un conjunto de tareas cualquiera, éstas se terminarán en el mismo tiempo independientemente de cómo se distribuyan. Más concretamente: si un ordenador puede realizar n operaciones por segundo, y se tiene el conjunto de tareas {T0, … , Tm} que suponen {O0, … , Om} operaciones, tardarán en ejecutarse como mínimo un tiempo t igual a:
Esto supone que no se tarda nada en repartir juego entre las diferentes tareas. En la realidad, existen diferentes algoritmos de planificación (scheduling), con diferentes impactos sobre el tiempo de proceso. Siempre habrá una fracción de tiempo destinada a alternar entre tareas, a cambiar de contexto
. En el mejor de los casos, cada cambio de contexto llevará un tiempo constante, que no dependerá de las tareas en liza. Es decir, será una operación O(1).
Aquí, N es el número de cambios de contexto que se darán en t, y tc es el tiempo que tarda en efectuarse un cambio. A la vista de esta fórmula, está claro que el rendimiento de un ordenador será mayor cuanto menor sea el tiempo dedicado a cambios de contexto. Es decir: hará más trabajo útil si no se pierde el tiempo en la multitarea. Igual que en el cerebro humano.
La máquina de pensar de carne tiene trucos muy buenos para mejorar su rendimiento. En particular, parece ser masivamente paralela. Varios procesadores independientes pueden realizar varias tareas a un tiempo sin pérdidas por multitarea, y el cerebro humano se organiza de esa forma si tenemos en cuenta las funciones inconscientes del organismo. Pero en el dominio de la consciencia somos algo similar a una máquina con arquitectura SISD, buffers (memoria a corto plazo) muy pequeños y un modo bastante ineficiente de cambiar el contexto. Es decir, que estamos casi obsoletos.
